2026. április 13., hétfő
Képtár:    Egyéb/Fórum     Hidegcsepp95 képei Képek száma: 484
<-Nagyításhoz kattints a képre!->
pic Feltöltő: Hidegcsepp95
Feltöltötte: 2023-09-30 23:58:29

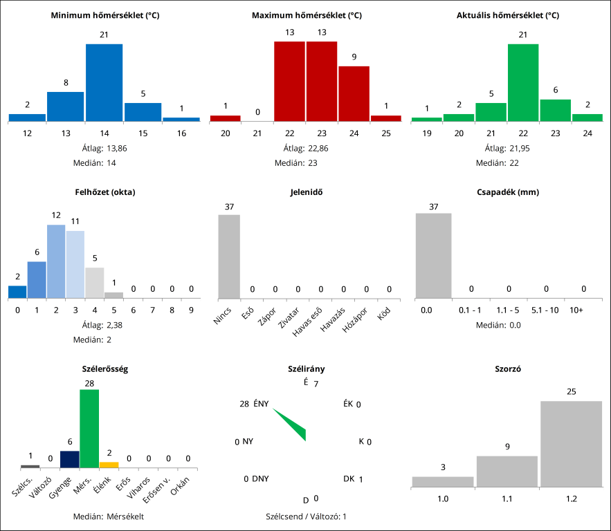
Utolsó észlelés

2026-04-13 12:52:25

Kõszeg

14.5 °C

18002

RH: 44 | P: 1015.5

Észlelési napló

Térképek

Radar
map
Aktuális hõmérséklet
map
Aktuális szél
map

Utolsó kép

157726

Hírek, események

Március 29-én óraállítás

Érdekességek | 2026-03-27 16:50

pic
Újra itt van! Március 29-én hajnali kettő órakor időmérő eszközeinket egy órával előre kell állítanunk.