2026. április 14., kedd
Képtár:    Egyéb/Fórum     Hidegcsepp95 képei Képek száma: 484
<-Nagyításhoz kattints a képre!->
pic Feltöltő: Hidegcsepp95
Feltöltötte: 2023-09-09 23:44:28

Utolsó észlelés

2026-04-14 04:41:48

Mosonmagyaróvár

10.9 °C

13502

RH: 57 | P: 1014.0

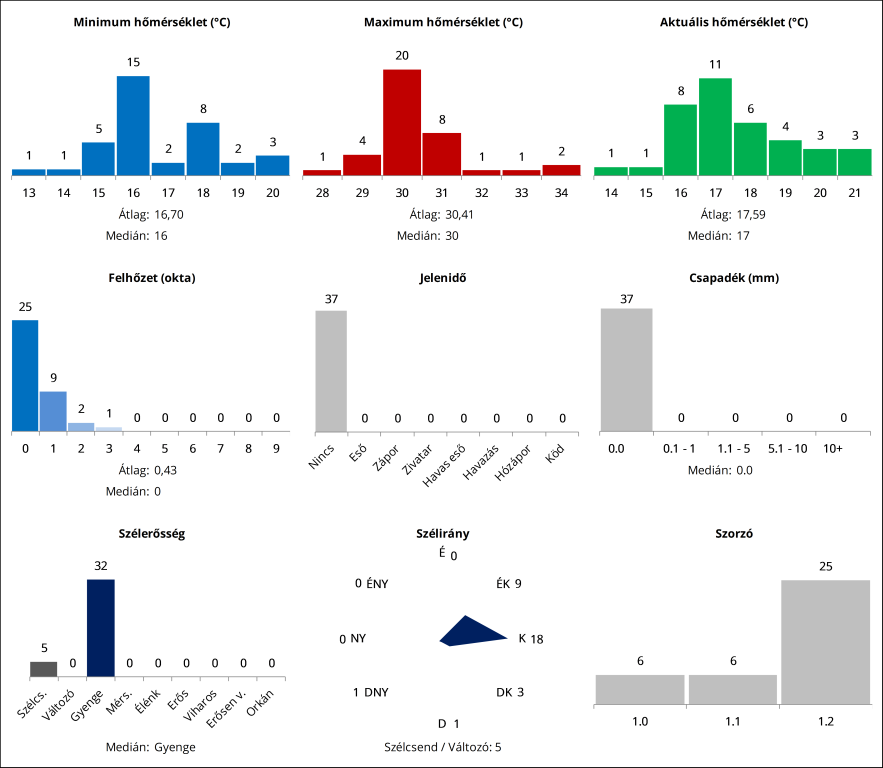
Észlelési napló

Térképek

Radar
map
Aktuális hõmérséklet
map
Aktuális szél
map

Utolsó kép

157726

Hírek, események

Március 29-én óraállítás

Érdekességek | 2026-03-27 16:50

pic
Újra itt van! Március 29-én hajnali kettő órakor időmérő eszközeinket egy órával előre kell állítanunk.