2026. április 15., szerda
Képtár:    Egyéb/Fórum     Hidegcsepp95 képei Képek száma: 484
<-Nagyításhoz kattints a képre!->
pic Feltöltő: Hidegcsepp95
Feltöltötte: 2023-08-05 15:24:20

Utolsó észlelés

2026-04-15 15:18:59

Pusztavám - Május 1 utca (216,3 m)

20.5 °C

RH: 59 | P: 1020.4

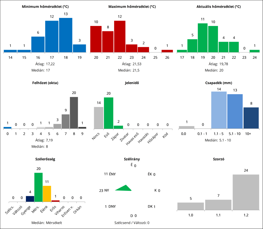
Észlelési napló

Térképek

Radar
map
Aktuális hõmérséklet
map
Aktuális szél
map

Utolsó kép

157726

Hírek, események

Március 29-én óraállítás

Érdekességek | 2026-03-27 16:50

pic
Újra itt van! Március 29-én hajnali kettő órakor időmérő eszközeinket egy órával előre kell állítanunk.