2025. december 26., péntek
Képtár:    Egyéb/Fórum     Hidegcsepp95 képei Képek száma: 477
<-Nagyításhoz kattints a képre!->
pic Feltöltő: Hidegcsepp95
Feltöltötte: 2024-09-22 01:17:39

Havazás előrejelzés

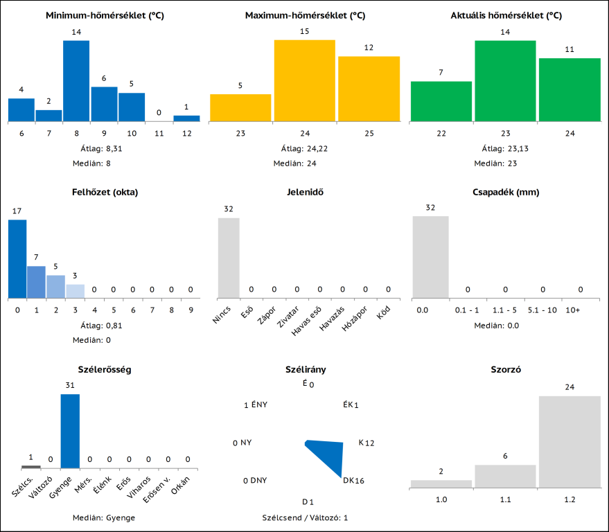
Utolsó észlelés

2025-12-26 14:17:53

Tát - Kertváros (106m tszf)

5.1 °C

RH: 78 | P: 1028.6

Észlelési napló

Térképek

Radar
map
Aktuális hõmérséklet
map
Aktuális szél
map

Utolsó kép

149388

Hírek, események

Feketén fehéren a karácsonyról

Időjárás-változás | 2025-12-21 10:00

pic
Jelentős változás kezdődik a kontinens és egyben hazánk időjárásában az ünnepi időszak alatt.