2025. december 28., vasárnap
Képtár:    Egyéb/Fórum     Hidegcsepp95 képei Képek száma: 477
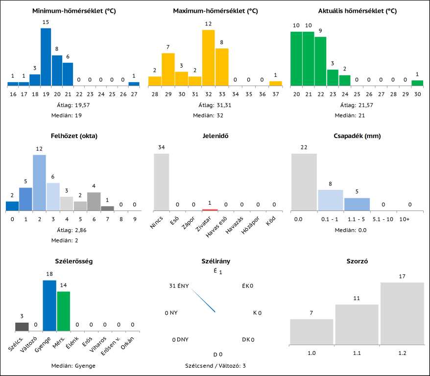
<-Nagyításhoz kattints a képre!->
pic Feltöltő: Hidegcsepp95
Feltöltötte: 2024-07-21 16:24:33

Havazás előrejelzés

Utolsó észlelés

2025-12-28 12:55:19

Romhány - Dózsa György út.

3.7 °C

31505

RH: 58 | P: 1020.5

Észlelési napló

Térképek

Radar
map
Aktuális hõmérséklet
map
Aktuális szél
map

Utolsó kép

149388

Hírek, események

Feketén fehéren a karácsonyról

Időjárás-változás | 2025-12-21 10:00

pic
Jelentős változás kezdődik a kontinens és egyben hazánk időjárásában az ünnepi időszak alatt.